Google ClassroomGoogle Classroom
GeoGebraGeoGebra Klaslokaal

Escena 12. Cálculo de la pendiente de una recta

Pendiente de una recta

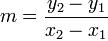
En esta lección veremos el concepto de la pendiente de una recta. Espero sea de tu agrado este tema. A continuación veras una explicación sucinta del tema, posteriormente verás un video que profundizará en el tema. ¡Comencemos! En matemáticas se denomina pendiente a la inclinación de un elemento ideal, natural o constructivo respecto de la horizontal (la tangente inversa del valor de la "m" es el ángulo en radianes). P, caso particular de la tangente a una curva cualquiera, en cuyo caso representa la derivada de la función en el punto considerado, y es un parámetro relevante en el trazado altimétrico de carreteras, vías férreas, canales y otros elementos constructivos. Pendiente de una recta La pendiente de una recta es la tangente del ángulo que forma la recta con la dirección positiva del eje de abscisas. Sean P1 (x1; y1) y (x2; y2), P2 dos puntos de una recta, no paralela al eje Y; la pendiente: Es la tangente del ángulo que forma la recta con el semieje X positivo. Si la pendiente (m) es mayor que 0 se dice que la pendiente es positiva, si la pendiente es menor que 0 se dice que la pendiente es negativa, si la pendiente es igual a 0 la recta es paralela al eje (x) del plano cartesiano, y si la pendiente es indefinida la recta es paralela al eje (y) del plano cartesiano

Pendiente de una recta